Если количество воздуха в смеси, вытекающей из кинетической горелки, ниже минимально необходимо, то полное сгорание возможно лишь при подаче вторичного воздуха за пределами горелки (в топку) и перемешивании его с вытекающей смесью за счет молекулярной или турбулентной диффузии. В этом случае у устья горелки наблюдается первичный конус горения, в котором сгорает только часть газа, соответствующая количеству первичного воздуха.
За фронтом первичного горения будет наблюдаться поток несгоревшего газа, забалластированный продуктами сгорания. При подводе к этому потоку вторичного воздуха создается второй фронт горения. Не следует думать, что за первичным фронтом горения будут находиться просто смесь продуктов сгорания и части несгоревшего газа в его первоначальном виде. В пределах фронта первичного горения происходит неполное сгорание газов с образованием продуктов частичного окисления.
По мере уменьшения количества первичного воздуха доля газа, сгорающего в первичном конусе, будет непрерывно уменьшаться, а в диффузионной зоне - увеличиваться, что приведет к удлинению последней. Высота первичного конуса будет также меняться. Характер этого изменения определяется характером изменения отношения W/Uн. Если при снижении количества первичного воздуха скорость выхода смеси будет падать быстрее, чем нормальная скорость распространения пламени uн, то высота конуса сократится. При сжигании углеводородных газов снижение количества первичного воздуха обычно приводит к сокращению высоты первичного конуса.
В промышленных установках, в частности при сжигании газа под котлами, широко применяются горелки, которые следует отнести к промежуточным типам между кинетическими и диффузионными. Б таких горелках, хотя, в смесительную камеру и подается все необходимое для горения количества воздуха, процесс смешения не завершается, окончание его переносится в топку.
Снижение количества первичного воздуха до нуля переводит горение целиком в диффузионную область. При ламинарном истечении газа факел сильно растягивается, но сохраняет правильную геометрическую форму.

Рассмотрим более подробно механизм диффузионного сгорания, а также структуру и закономерности диффузионного факела.
На рис. V-15 представлена упрощенная схема диффузионного элементарного факела, создающегося при истечении вертикальной струйки газа в неподвижный воздух.
В факеле можно отметить следующие характерные зоны. Внутри факела находится темная зона .7, состоящая из одного газа первоначального состава без примеси воздуха. В непосредственной близости от фронта горения эта зона переходит в зону 2, в которой наблюдается нарастающее содержание продуктов сгорания. Далее находится поверхностная оболочка фронта горения 3, имеющего небольшую толщину. Эта оболочка может при известных условиях начинаться непосредственно от выходного отверстия газовой струи, а может быть и отнесена от него на значительное расстояние. В среднем по толщине фронта горения имеет место стехиометрическое соотношение количества газа и воздуха (α = 1,0). За пределами фронта горения располагается нарастающая в направлении развития факела зона 4 смеси продуктов сгорания и воздуха. В этой зоне имеет место движение продуктов сгорания от фронта наружу и движение воздуха из внешней среды (зона 5) к фронту горения. Эти перемещения масс происходят под влиянием турбулентной или молекулярной диффузии. Одновременно в пределах всех рассмотренных зон имеет место также движение вдоль оси факела за счет кинетической энергии вытекающей газовой струи и возникающих гравитационных сил.
За пределами зоны 5 находится окружающий воздух, лишенный газа и продуктов его сгорания.
В зависимости от скорости истечения газа и диаметра соплового отверстия характер диффузионного факела меняется. При малых скоростях истечения газа факел имеет правильные устойчивые очертания (рис. V-16), фронт пламени начинается непосредственно у соплового отверстия. Массообмен в пределах рассмотренных нами зон происходит за счет молекулярной диффузии, т. е. вытекающая струя и весь факел имеют ламинарный характер. По мере увеличения скорости размеры факела растут, достигая некоторого максимума. Одновременно начинает теряться правильность очертаний и стабильность его вершины, появляются отдельные языки пламени. Начинается турбулизация факела, захватывающая все большую его длину. По мере приближения турбулентного фронта к корню факела высота его несколько

снижается, оставаясь далее более или менее постоянной. По достижении некоторой критической скорости газовой струи весь факел становится турбулентным и происходит отрыв фронта пламени от соплового отверстия, фронт все более удаляется, горение сопровождается характерным шумом. При дальнейшем увеличении скорости факел срывается и горение прекращается.
Переход диффузионного факела в неподвижной воздушной среде от ламинарного режима горения к турбулентному наблюдается для разных газов при разных значениях Re. По данным Гаусорна, Уэддела и Хоттела, для водорода Re составляет около 2200, для городского (коксового) газа 3700-4000, для окиси углерода около 4750, для пропана и ацетилена 8900-10400. Обобщенная зависимость перехода ламинарного факела в турбулентный отсутствует.
Закономерности формирования турбулентных диффузионных факелов в неограниченном свободном воздушном пространстве изучались многими авторами.
Говоря о размерах, в частности о длине газовою факела, отметим, что речь может идти о наблюдаемой "визуальной", "фотографической" и так называемой химической длине. Визуальные размеры факела в известной степени зависят от субъективных особенностей наблюдателя, а размеры на фотоснимке - в сильной степени от свойств фотоматериалов и выдержки. Данные ряда авторов свидетельствуют, что в пределах визуальной длины факела происходит выгорание 98-99% и более горючих компонентов смеси, т. е. "химическая" длина практически совпадает с визуальной.
Относительная высота одиночного вертикального турбулентного факела природного газа, развивающегося в неподвижном воздухе, может быть выражена следующей экспериментальной зависимостью:

В ряде экспериментов отмечено незначительное возрастание высоты факела по мере роста скорости истечения газа.
Отрыв факела от соплового отверстия происходит при скорости истечения газа
![]()
где К - коэффициент, зависящий от профиля сопла или соплового отверстия. Для простых сверлений К=10;
d - диаметр соплового отверстия, мм.
Полный срыв факела происходит при скорости
![]()
В спутном или сносящем потоках воздуха срыв факела происходит при меньших скоростях выхода газа.
По данным И. Д. Семикина, относительная высота турбулентного диффузионного факела
![]()
Эта зависимость может быть записана в виде
![]()
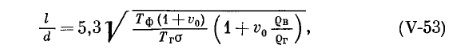
По данным Гаусорна, Уэддела и Хоттела, длина факела в зависимости от характеристик газа может быть выражена формулой


По экспериментальным данным П. В. Левченко и Б. И. Китаева, относительная длина факела зависит от скорости истечения газа

Экспериментальные исследования свободных турбулентных диффузионных факелов проводились в КИИ при сжигании бугуруслано-похвистневского природного газа. В результате этих опытов установлено, что формула (V-54) дает удовлетворительные результаты для природного газа при значении k= 1,5.
Влияние скорости на размеры турбулентного диффузионного факела, отмечаемое также рядом других авторов, все же невелико, а поэтому без большой погрешности можно полагать, что
![]()
Константа определяется свойствами газа и не зависит от условий истечения. Максимальный диаметр факела D также зависит только от диаметра сопла и свойств газа.
![]()
Приведенные зависимости длины турбулентного диффузионного факела горящего газа от размера сопла и параметров газа справедливы для случая горения газа в атмосфере одиночной струей. Для многоструйного диффузионного горения газа, а также при горении в воздушном потоке, движущемся под тем или иным углом к газовой струе, геометрические характеристики факела, разумеется, сильно меняются. Факел удлиняется в спутном потоке воздуха, а также меняет свою форму и размеры под влиянием гравитационных сил. Например, факел при выходе свободной струи газа в горизонтальном направлении сильно укорачивается и отклоняется кверху. При некоторой скорости потока факел, не стабилизированный какими-либо устройствами, срывается и горение прекращается. Для указанных выше диаметров сопел срыв факела происходит. Приближенно можно принять при величине скорости воздушного потока порядка 12-15% от скорости истечения газа.
При сжигании газа в промышленных топках всегда имеет место значительное искажение факела и отклонение его форм и размеров от расчетных, однако приведенные выше соотношения в значительной части сохраняют свою ценность, так как позволяют установить качественную картину горения и правильно отражают влияние параметров газа и диаметра газовых струй.