Как при кинетическом, так и при диффузионном сжигании газообразного топлива тепловое напряжение объема сгорания топочного пространства не является достаточно устойчивой характеристикой процесса. В зависимости от организации горения эта величина колеблется в очень широких пределах. Более или менее точный аналитический расчет максимально допустимых тепловых напряжений возможен только для отдельных случаев кинетического горения в ламинарном потоке.

Рис. V-17. Напряжение объема сгорания. Схема кинетического ламинарного факела.
Приведенные ниже выводы а зависимости имеют целью выявить лишь качественную картину, определяющую влияние различных факторов на допустимое тепловое напряжение объема сгорания топочного объема.
Рассмотрим кинетическое сгорание газа, приняв следующую физическую модель процесса. Смесь ламинарным потоком со скоростью W вытекает из устья горелки диаметром d. В выходном сечении по периметру осуществляется зажигание смеси (рис. V -17). Внутренний темный конус имеет высоту h, высота физической зоны горения h1. Принимаем, что конус горения имеет правильную геометрическую форму с линейной образующей. В пределах физической зоны горения средняя скорость потока W больше, чем скорость смеси в устье горелки из-за повышения температуры при сгорании и молекулярного изменения объема. Сечения потока до и после сгорания принимаем равными, что соответствует сгоранию в трубке.
Приняв продолжительность реакции горения от начала процесса до практически полного выгорания горючих τ, найдем
![]()
где ᵝ - коэффициент увеличения скорости потока при сгорании.
По (V-39) высота конуса Михельсона
![]()
Полная высота факела
![]()
Объем цилиндра (топки) от устья горелки до конца факела
![]()
Приняв теплоту сгорания газа Qсн, теоретически необходимое количество воздуха V0 и коэффициент избытка воздуха а, найдем мощность тепловыделения в горящем факеле (при Т = 273° К)

Из полученной формулы видно, что тепловое напряжение объема сгорания топочного объема при кинетическом сжигании газа в ламинарном потоке возрастает с увеличением теплоты сгорания газа и нормальной скорости распространения пламени и уменьшается с повышением диаметра струи, ее скорости, коэффициента избытка воздуха и продолжительности реакции.
Продолжительность реакции горения при обычных температурах в топках очень мала и составляет для метана величину порядка 4 • 10-1 сек, для водорода 1 • 10-7 сек. Поэтому продолжительность реакции заметно сказывается на тепловом напряжении топки только для горящих струек очень малых диаметров. Скорость смеси на выходе из горелки при ее номинальной производительности обычно в 30-40 раз превышает нормальную скорость распространения пламени, так как иначе появляется опасность нроскока пламени при малых нагрузках горелки. Следовательно, подкоренная величина в знаменателе формулы не может быть очень малой.
Кроме того, рассматривая случай сжигания природного или попутного газов, теплота сгорания которых выше 30,0 Мдж/м3, можно без особого ущерба для правильности выводов полагать, что доля газа в смеси составляет 10-12 % ее объема.
Тогда при сгорании в туннелях, трубках или каналах получим, что
![]()
Из этой формулы видно, что тепловое напряжение при сжигании газа с высокой теплотой сгорания практически от нее пе зависит, а определяется величинами а, d и uн.
При уменьшении диаметра струйки смеси тепловое напряжение будет возрастать и достигнет максимума при d → 0 и α = 1.

Следовательно, при бесконечном уменьшении диаметра струйки смеси тепловое напряжение топочного объема стремится к напряжению плоского фронта пламени (речь идет о минимальном объеме цилиндрической топки -трубки).
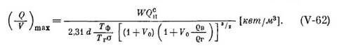
В случае диффузионного сгорания тепловое напряжение можно определить исходя из длины и диаметра свободного факела. Длина факела [формула (V-53)]

Объем трубки, представляющей топку, от сопла до конца факела
![]()
Мощность тепловыделения в факеле при полном сгорании газа и скорости его истечения W, м/сек (полагая Тr=273°К)
![]()
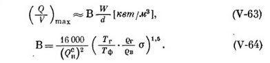
Максимальное тепловое напряжение топочного пространства

Принимая в целях упрощения объем природного или попутного газов за 10-12% от объема смеси, после простейших преобразований получим

Таким образом, тепловые напряжения объема сгорания при диффузионном сгорании газа в потоке с крупномасштабной турбулентностью прямо пропорционально скорости истечения газа, обратно пропорционально диаметру сопла и зависит от свойств и параметров газа.
Коэффициент В в свою очередь прямо пропорционален температуре и плотности газа в степени 1,5 и обратно пропорционален квадрату теплоты сгорания газа. Следовательно, газы с меньшей теплотой сгорания можно сжигать в диффузионном факеле с более высокими тепловыми напряжениями. Однако надо иметь в виду, что у природных и попутных газов вместе с повышением теплоты сгорания обычно наблюдается одновременное повышение ςг и σ, что в известной степени компенсирует влияние Qсн на тепловое напряжение.
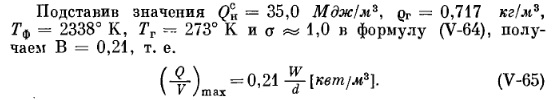
Так как свойства большинства природных газов мало отличаются от свойств метана, определим для него значение коэффициента В.

В промышленных горелках низкого давления скорость истечения газа лежит в пределах 30-50 м/сек, диаметры сопловых отверстий обычно выбираются 5-10 мм. Для этих значений W и d максимальные тепловые напряжения, подсчитанные по формуле (V-65), составляют 0,6-2,1 Мвт/м3.
В котельных газовых топках обычно наблюдаются тепловые напряжения (для диффузионного сгорания газа) в пределах 0,3- 0,6 Мвт/м3, что свидетельствует о плохом использовании топочного объема для формирования газового факела.
Полученные формулы не могут дать надежных цифр теплового напряжения объема сгорания для расчета промышленных газовых топок, так как условия смесеобразования и воспламенения в них сильно отличаются от принятых в выводе, но порядок величин и влияние отдельных факторов на допустимые напряжения отражены достаточно правильно. Турбулизация подводимого воздуха, направление его под углом к газовым струйкам, истечение газа по пересекающимся направлениям, размещение на пути потока насадок и различных препятствий - все это может заметно увеличить допустимое тепловое напряжение объема сгорания.